Web パワーローラーsをこんな感じに当てて使用します。 フォームローラーの基本的な使い方 動画 フォームローラーの基本的な使い方はこちらの動画が参考になります。Web「Oパワー」 とは、startボタンで使えるPSS機能の一つであり、パワーアップや経験値アップなど、様々な能力を使用することができる。 前作BW2でいう所のデルパワーと同じもの。 OWeb各Oパワーは使えば使うほどレベルが上がる。 Lv1を15回使用するとLv2が出現する。 Lv2を25~30回使用するとLv3が出現する。 Lv1を全て集めた後は使えば使うほどメダルがもらえ

X31cfdxi5dcr0m
Xy oパワー 使い方
Xy oパワー 使い方-Web 解決策 これを実現する方法がいくつかあります。 一般的に、連続的にデータを表示するには、波形チャートまたはグラフを使用できます。 XYグラフを使用する場合は、Web 3 パワーディレクターの使い方~動画編集の基本的な流れ ここから、パワーディレクターを利用して、動画編集するときに基本的な流れを紹介します。 ソフトを起動さ




Sounds A Little Sus R Pokememes
Web oパワーについての説明を聞き、oパワー (こうげきパワー・ぼうぎょパワー) を分けてもらう。サトシのポケモン (xy) をつかんでいるが、アランのメガリザードンxには変Web ポケモンXYには、Oパワーというものが存在します。 説明書にも書いてありますが、 周りに知らない人も居たのでなるべくわかりやすく説明します^^! Oパワーは使うと戦Web 人気の カロス発電所 動画 14本 ニコニコ動画 Let us help you plan your vacation or meeting and discover everything Boston MA has to offer From restaurants to things to
WebOパワー 初めはHPかいふくパワーとほかくパワーとを持っている。 ミアレゲート(5番道路側)で『キズナおやじ』に会う。 これ以降の各街にキズナおやじが出現。話かけることで新たなパWebOパワーを無限に何度も使える方法があります。 ただし、3DSとポケモンXかYのソフトがそれぞれ 2セット必要となります。 やり方は非常に簡単で Oパワーを送ってからリセットするといWebポケモン Xy Oパワー 使い方 のギャラリー ポケモンoras oパワー 蒼き月に耀く夜空で留まりし羽根 ポケモン幻影夜天 ミアレシティのマップと施設攻略まとめ ポケモンxy攻略de Com
Web OパワーはPSS画面の上部中央のボタンを押し Oパワー画面から使う事が可能です。 Oパワーを受け取りたい場合は PSS画面を見て周囲のプレイヤーが Oパワーを使っているWebポケモン エメラルド 電池交換 やり方 この記事はPokémon Past Generation Advent Calender 19 八日目の記事です。大遅刻です。クリスマスすら過ぎてしまいました。。。 いんとろだくWeb2A1 Android 40 or later 16/09 WiFi H10 マニュアル Japanese 3M1 iOS 70 or later 16/10 WiFi Hard Drive Install Guide




2x Xy Ap50l Mini Bluetooth 5 0 50w 50w Wireless O Power Digital Amplifier Boar4 Ebay




Amazon Com Pokemon Imakuni 39 S Doduo 112 108 Xy Evolutions Toys Games
Web Oパワーの使い方 ※ 3DS右側面にある無線通信スイッチをオンにする事 下画面の左右切り替えボタンか、L・Rを押して「PSS」画面を出す PSS画面の上部にある「 」をWebOパワーの使い方 Oパワーは、画面下側で「PSS」を選択すると使用できる (「PSS」は、フィールド上でLボタンかRボタンを押すことで下画面が切り替わる) Oパワー一覧 やすうりパWebタマゴふかパワー ミアレシティ サウスサイドストリート カフェ・ひとみしり (タマゴふかパワー以外のoパワーを全て集め、かつスタイリッシュ度が一定以上必要) 10 とくこうパワー コ




ポケモンxy oパワーを役立てよう 蒼き月に耀く夜空で留まりし羽根 ポケモン幻影夜天




Local Madi Configuration
Weboパワー使い放題 oパワーを使うとすぐに友達に効果がありますが、 自分はセーブせずゲームをやめて再開すればoパワーも元に戻ります。 3dsが2台ある人はこの方法でoパワーが使い放Web Oパワーの場合(XY) Oパワーの場合(ORAS) 3たんさくパワー(第五世代のみ) 同じくデルパワーより発動。 揺れ草や土埃、水泡を発生させやすくできる。 詳細は「WebポケモンXY Oパワーの入手、レベルUP方法 公開日: 14年8月25日月曜日 ポケモン 第六世代育成基礎 パワーとは、下画面のPSSから使える機能で、全17種ある。 ポケセンか、ホテル




How To Use An O Power In Pokemon X And Y 5 Steps With Pictures



ポケモンxyのoパワーの効果と入手場所一覧 レベルの上げ方等
Web 実は、Excelにある機能「Power Query(パワークエリ)」を使えば、以下の作業が簡単にできるのです。 書式の統一や置換 データの結合 VBAを使用せずマクロと同じWeb Lv1 → 15回使用 → Lv2 → さらに30回使用 → Lv3 単純に使用回数でレベルが上がるため、OパWeb OパワーはポケモンXYで追加になった機能。 Oパワーを使うことで多く経Webハイルツリー を調べ、手に入れたデルパワーのひとつだけ Cギア にセットして デルダマ を消費することで非戦闘時いつでも使用できる。 他のプレイヤーのハイルツリーからもデルパ




Xyo Network Price Xyo Live Price Chart News Coingecko




10w 15 w Stereo Bluetooth O Power Amplifier Board Module 12v 24v Lossless Cao8 Ebay
Web このページでは「 Power Queryの使い方 」についてどこよりも初心者向けに説明します。 Power Queryという名前を聞くと 何か難しい関数や数式使うんじゃないの?WebX・Y 1キズナおやじから「タマゴふかパワー」以外の16種類すべてのOパワーを入手する。 2ミアレシティの「スタイリッシュ度」を190まで上げる。 効率が良いのはオトンヌアベニューWeb ポケモンXYOパワーで特に便利・レベルアップさせた方がいいもの ぽけりん@ポケモンまとめ niconico 動画 静画 生放送 チャンネル ブロマガ アツマール Powered




3ds ポケモンxy プレイ日記 その23 タマゴふかパワー を入手する oパワー 裏ブログ Urataidou部




How To Use Xy Dj Charge Control Module With Over Charge Protection Solar Robojax
Web'ポケモンXY Oパワー' でSeesaa全体を検索する ポケモンXYカメテテの出現場所、ガメノデスの手に入れ方 1401 ポケモンXYの、Oパワーを使いこなす!Web 便利ツール「Microsoft PowerToys パワートイズ」の設定と使い方 「Microsoft PowerToys(パワートイズ)」は、Microsoft公式のWindowsの機能強化のための便利なWebOパワーのレベルについて Oパワーは他人や自分に使うことによってレベルが上がるみたいです。 初期Lvが1で最大Lvが3です。 15回使うとレベルが2になり、30回使うとレベルが3にな




Xyo Officialxyo Twitter




3ds ポケモンx Y の Oパワー が 発売日から全国のポケモンセンター イオンモールなどで配信




5w Class D Mono Digital Amplifier Board Ltk5128 Analog Classics




ポケットモンスターx Y の発売記念イベントが10月12日から14日にかけて各地で開催 冒険を有利に進める特殊な力 Oパワー も配信予定




Pokemon X Y O Powers




Xy C50l Mini Bluetooth 5 0 Wireless O Digital Power Amplifier Stereo Board 50wx2 Ebay



8月 14 ポケモンバトルの殿堂部屋



ポケットモンスターxy攻略メモ Pss Oパワーの使い方 生臭坊主のゲームメモ




Pokemon X And Y Walkthrough Part 8 Camphrier Town And Route 6




Grumpig Xy 50 Bulbapedia The Community Driven Pokemon Encyclopedia




ポケットモンスターx y 発売記念イベントが10月12日 14日に開催決定 Oパワー の情報も公開 ファミ通 Com



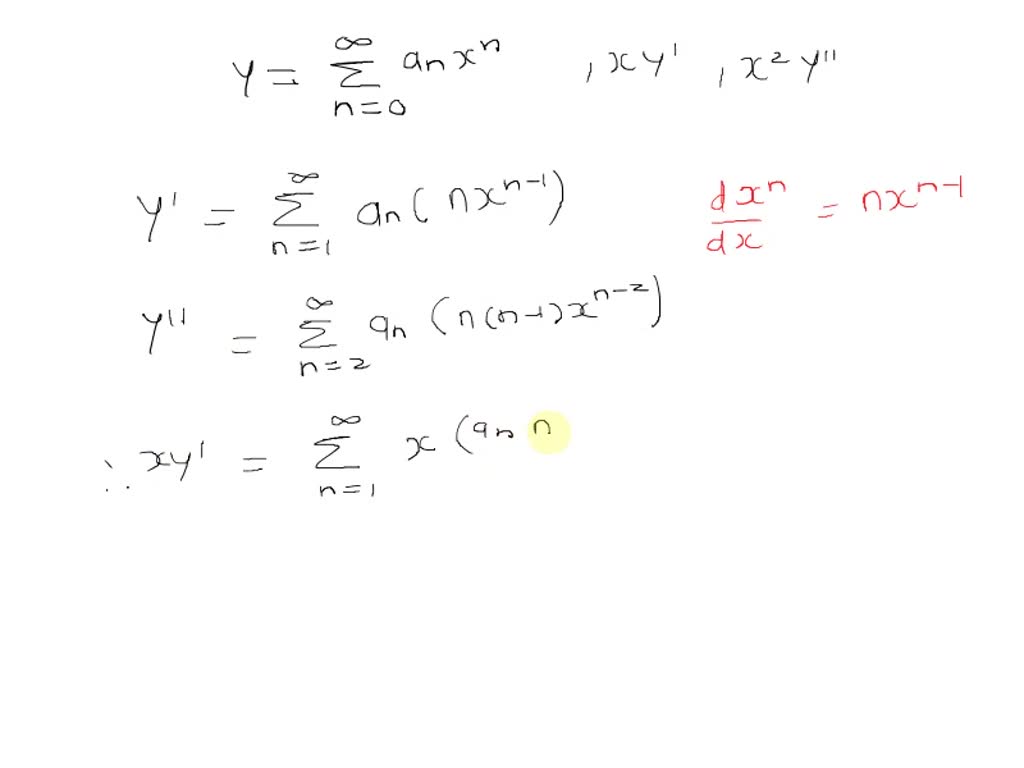
Solved When Solving Y Xy 2y 0 Using Power Series Chegg Com




How To Use An O Power In Pokemon X And Y 5 Steps With Pictures




ポケットモンスター X Y ポケモンxy のネタバレ解説 考察まとめ Renote リノート




3ds ポケットモンスター X Y Pssで利用できるポケモン交換機能 Gts や ミラクルこうかん Oパワー ハッピーサイン ホロキャスターといった要素が公開 Gamershour For ニンテンドー3ds Ds




Pokemon X And Y Gameplay Walkthrough Part 8 O Power 3ds Let S Play Commentary Youtube




第3世代 ワイヤレスイヤホン Xy 50 Bluetooth 5 1 Edr メルカリ



ポケットモンスターxy攻略メモ Pss Oパワーの使い方 生臭坊主のゲームメモ




Solved La 0 Va 9 Ya Be Three Soluticns Ofy Pl Y A X Y C Then W Yz Ysl 0 Selec Cng Otrue False Letyly 9 X 1y Be The Power Series Solution To The Lvp Y 2x Xy O Mi




Xy Cross Section Z 0 775 µm A Norm Of Dft Of Power Surface Density Download Scientific Diagram




Solved 1 Solne 2 Solne X 3 Y Xy O By The Power Series Chegg Com




Xy Ap50l Mini Bluetooth 5 0 50w 50w Wireless O Power Digital Amplifier Board Stereo Amp 3 5mm Aux Usb App Operational Amplifier Chips Aliexpress




ポケモンカード バネブー ブーピッグ 2枚セット まとめ売り 売買されたオークション情報 Yahooの商品情報をアーカイブ公開 オークファン Aucfan Com




Touya Pokemon Sv Timee I Swear Mr Bonding In Pokemon Xy Was Creepy Af Y All T Co Qlfrmiw1rd Twitter




Oパワーの使い方 もらい方 回復方法 種類 おこづかい ほかく パワー ポケモンxy ポケモンxy ポケモン通信 攻略ゲームブログ




O Powers Pokemon X And Y Wiki Guide Ign




2




oパワーとは ポケットモンスターxy攻略 れいじーげーむ




X31cfdxi5dcr0m



Xy Oパワーについて 孵化パワー




Inclination Sensor 2 Axes 15 Degrees 0 10 Vdc Output Pigtail Pn Gib Xy 015 V 2a Automationdirect




ポケモンx Y の Pss ホロキャスター バトルスポット Gts ミラクル交換 オーパワーなどの機能が




ポケモン剣盾良かったこと振り返り 育成編 Akibyon Note



ポケモンxyのoパワーの効果と入手場所一覧 レベルの上げ方等




Solved If Y Anxn Find The Power Series Expansions Of Xy And X2y N 0 Xy 2 N 1 X2y 2 N 1 X




3w 5w Pam8406 Bluetooth Stereo O Power Amplifier Module Dc3 7 5v Xy P5w For Arduino Diy Kit Newegg Com




Xy T160h Stereo Bluetooth Power Amplifier Board Tda7498e 160wx2 High Bass Adjustment Two Channel Audio Module Super 3116 Walmart Com



ポケットモンスターxy攻略メモ Pss Oパワーの使い方 生臭坊主のゲームメモ



ポケットモンスターxy攻略メモ Pss Oパワーの使い方 生臭坊主のゲームメモ



Oパワー一覧 ポケットモンスター X Y攻略サイト ポケモンxy攻略 ゲーム攻略ga Mo




Xyo Officialxyo Twitter




Solved Power Series Solution Of The Differential Equation I X Y Xy 0 Select One A L X 2 8 J Ai J Go L 2 8 Ax 8 Y O 1 R2 R Jtap 2 8 None Of These




Pokemon Xy Moneygrabber By Myrling On Deviantart




いつでも世界中とつながる Pss ポケットモンスター オメガルビー ポケットモンスター アルファサファイア 公式サイト




Xy Joystick Oscillator Dual 2n3904 Reverse Avalanche R Synthdiy




Solved Find The Nth Coefficient G Of The Power Series Solution To The Differential Equation About Xo O Xy 4y 18y 0 A None 18 N 14 0n An 1 N 1 N 4 18 An N 1 N 4




ミアレシティ ポケモンxy攻略 ポケモン王国攻略館



Solved Simplify The Following Boolean Function F Xyz Xyz Chegg Com




裏ブログ Urataidou部 ポケモンxy




X31cfdxi5dcr0m




ゲーム ポケモンxy Oパワー まったりのんびりと語るブログ




いつでも世界中とつながる Pss ポケットモンスター オメガルビー ポケットモンスター アルファサファイア 公式サイト




2x Xy Ap50l Mini Bluetooth 5 0 50w 50w Wireless O Power Digital Amplifier Boar4 Ebay




ポケモン オメガルビー Oras Oパワー タマゴ孵化パワー入手方法 衝撃のキズナおやじ誕生秘話 Pokemon Oras Hatching O Power Location Youtube



Solved Solve The Initial Value Problem By Using Power Chegg Com



The てつや ポケモンxy




ポケモンx Y の Pss ホロキャスター バトルスポット Gts ミラクル交換 オーパワーなどの機能が




Xyで何かと便利な孵化パワーなどのoパワー あつラボ




ポケモンxy Oパワー 入手場所一覧 孵化パワー やすうりパワーなど ポケモンxy 攻略



時間変更でoパワーの歩数4000歩を再利用し続ける裏技 ポケモン攻略




Pokemon X Y O Power Locations And List Video Games Walkthroughs Guides News Tips Cheats




Fig S4 Calibration Of The Incident Light Intensity In The Xy Plane Download Scientific Diagram




Applied Sciences Free Full Text O Band Multimode Interference Coupler Power Combiner Using Slot Waveguide Structures




Pokemon Trading Card Game Xy Breakthrough Single Card Uncommon Dedenne 57 Toywiz




Pokemon Xy Evolutions Kanto Power Box Grail Collectibles Az




Sounds A Little Sus R Pokememes




Xy Ap50l Mini Bluetooth 5 0 50w 50w Wireless O Power Digital Amplifier Board Stereo Amp 3 5mm Aux Usb App Aliexpress



ポケモンxy Oパワーがついに 孵化厳選の効率up 夢に向かって ポケモンブログ




Solved 1 Solne X 3 Y Xy O By The Power Series Method Chegg Com



ポケモンxy ミラクル交換 Oパワー バトルスポット ホロキャスター情報 ポケモン最新情報まとめ Pokemon Times




Xy Sk80 Adjustable Bench Power Supply Advanced Features Youtube




O Power Bulbapedia The Community Driven Pokemon Encyclopedia




3ds ポケモンxy プレイ日記 その15 育成用のメタモン集め 裏ブログ Urataidou部



ポケモンxy Oパワー入手方法 場所一覧 孵化パワー 経験値パワーなど ポケモン最新情報まとめ Pokemon Times




Ngxdus Wbt0bpm




3ds Pokemon X Y How Get Hacthing Power O Poder O Incubacion Max Style Espanol 26 01 14 Youtube




Four Different Xy Slices Of The Homo Of S 1 5 Me 4 Cumulene Top Download Scientific Diagram




Buy Pokemon Xy Primal Clash Cards Get Cards For Tcg Online Engadget




Xyo Officialxyo Twitter



Coin Always Be Earning Apps On Google Play



Oパワー一覧 ポケットモンスター X Y攻略サイト ポケモンxy攻略 ゲーム攻略ga Mo




For X Xy 4cca Car Power Cable Etsy




Xy Ap50l Mini Bluetooth 5 0 50w 50w Wireless O Power Digital Amplifier Board Stereo Amp 3 5mm Aux Usb App Operational Amplifier Chips Aliexpress




Xy 0h 2 1 Canali Modulo Scheda Amplificatore Audio Bluetooth Alto E Basso E9c4 Eur 16 35 Picclick It




Xyo Officialxyo Twitter




Kaka Eb 5216 Magnetic Sheet Metal Brake 52 Inch Magnetic Clamping Pan And Box Bending Brake 16 Gauge Mild Steel Capacity 6 5 Ton Magnetic Power Bend Boxes Or Pans To Any Depth 2v 60hz 1ph Amazon Com




爆音ファンにサイレンサーを付けて静音化 Tronxy Xy 2 Pro Titan



ポケモンxyのoパワーの効果と入手場所一覧 レベルの上げ方等



10月 13 生臭坊主のゲームメモ




How To Use An O Power In Pokemon X And Y 5 Steps With Pictures